1. ¿Qué es?

Un cargo adicional que los usuarios de electricidad pueden incurrir cuando su consumo de energía eléctrica excede la capacidad contratada o asignada. Si un usuario excede la potencia contratada, es decir, si demanda más electricidad de la que se acordó en el contrato, puede estar sujeto a una penalización financiera. Esta penalización se implementa para desincentivar el uso excesivo de energía y garantizar que los usuarios paguen por la capacidad que está utilizando. Además, ayuda a mantener la estabilidad de la red eléctrica al evitar sobre- cargas que podrían provocar interrupciones o problemas en la distribución de energía. Estas penalizaciones por exceso de potencia se definen en CIRCULAR 3/2020- CA´LCULO DE LOS PEAJES DE TRANSPORTE Y DISTRIBUCIO´N DE ELECTRICIDAD donde, también se aclara la metodología para calcular los peajes de transporte y distribución de electricidad.

2. Exceso de potencia en 2.0TD

Para esta tarifa se harán diferencia de los contadores sin telegestión y los contadores con telegestión.

Para los contadores sin telegestión en los puntos de medida tipo 5[1]. En lugares donde no haya un medidor que permita distinguir entre diferentes horarios y permita la gestión remota, el monitoreo de la potencia demandada se llevara a cabo mediante la instalación de un interruptor de control de potencia (ICP) ajustado al amperaje que coincida con la potencia contratada.

Para los contadores con telegestión en los puntos de medida tipo 5, los contadores con capacidad para discriminar horarios y permitir la gestión remota facilitaran la regulación de la potencia demandada. Este control se llevará a cabo mediante la activación del dispositivo de corte en el contador de energía, ajustado a la potencia contratada o las potencias correspondientes.

3. Exceso de potencia en 3.0TD y 6.1TD

3.1. Puntos de medida tipo 4[2]

Para estos puntos de medida el control de potencia y llevará a cabo la re- gelación de la potencia requerida mediante la incorporación de dispositivos de medición específicos. Estos aparatos registrarán la máxima potencia demandada en intervalos de una hora durante cada periodo tarifario. Si en algún periodo horario la potencia demandada supera el 105 % de la potencia contratada para ese mismo periodo, se realizará la facturación de los excesos registrados en cada periodo. El proceso de facturación vendrá de la mano de la siguiente fórmula[3]:

[1] Estos son, puntos situados en las fronteras de clientes cuya potencia contratada en cualquier periodo sea igual o inferior a 15 kW o en las fronteras de instalaciones de generación cuya potencia nominal sea igual o inferior a 15 kW.

[2] Son puntos de medida tipo 4 los puntos situados en las fronteras de clientes, cuya potencia contratada en cualquier periodo sea igual o inferior a 50 kW y superior a 15 kW.

[3] Para FEP la facturación en concepto de excesos de potencia, tp término de exceso de potencia [e/kW], del peaje correspondiente, Pdj es la potencia demandada en cada uno de los períodos que se haya sobrepasado PCP [kW], PCP es la potencia contratada en el período horario p [kW] e el número de periodos horarios de los que consta el término de facturación de potencia del peaje correspondiente.

3.2. Puntos de medida tipo (1,2 y 3)[4]

Para estos puntos con (P > 50kW) el control de la potencia requerida se llevará a cabo mediante las mediciones realizadas cada 1/4h por los equipos designados y se sancionará cualquier exceso de potencia detectado en cada intervalo de quince minutos. En este contexto, la CIRCULAR también establece los parámetros para determinar el término asociado al exceso de potencia en el peaje, con el objetivo de desincentivar la contratación de potencias inferiores a las verdaderamente necesarias.

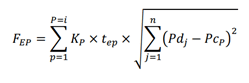
La fórmula[5] utilizada para calcular la facturación por excesos de potencia es la siguiente:

Los valores del coeficiente Kp:

[4] Para contadores tipo 1: Puntos situados en las fronteras de clientes cuya potencia contratada en cualquier periodo sea igual o superior a 10 MW. Puntos situados en las fronteras de generación cuya potencia aparente nominal sea igual o superior a 12 MVA. Puntos situados en cualquier otra frontera cuya energía intercambiada anual sea igual o superior a 5 GWh.

Para contadores tipo 2: Puntos situados en las fronteras de clientes cuya potencia contratada en cualquier periodo sea superior a 450 kW.

Puntos situados en las fronteras de generación, cuya potencia aparente nominal sea igual o superior a 450 kVA. Puntos situados en cualquier otra frontera cuya energía intercambiada anual sea igual o superior a 750 MWh.

Para contadores tipo 3: Son puntos de medida de tipo 3: aquellos que no puedan clasificarse en otra categoría.

[5] Para FEP la facturación en concepto de excesos de potencia, Kp la relación de precios por periodo horario p, calculada como el cociente entre el término de potencia del periodo p respecto del término de potencia del periodo 1 del peaje correspondiente, tep El término de exceso de potencia, expresado en €/kW, del peaje correspondiente se determina con base en el perfil del consumidor medio de cada peaje. La facturación de acceso se optimiza de manera que sea equivalente a la facturación que resultaría de considerar las potencias contratadas máximas de cada periodo. Se impone la restricción de que la facturación de acceso para el periodo 1 después de la optimización nunca sea negativa. Posteriormente, el término resultante se incrementa en un 20% con el objetivo de desincentivar la contratación de potencias inferiores a las realmente demandadas, Pdj es la potencia demandada en cada uno de los períodos que se haya sobrepasado PCP [kW], PCP es la potencia contratada en el período horario p [kW] e i el número de periodos horarios de los que consta el término de facturación de potencia del peaje correspondiente.

3.2. Puntos de medida tipo (1,2 y 3)[4]

Para estos puntos con (P > 50kW) el control de la potencia requerida se llevará a cabo mediante las mediciones realizadas cada 1/4h por los equipos designados y se sancionará cualquier exceso de potencia detectado en cada intervalo de quince minutos. En este contexto, la CIRCULAR también establece los parámetros para determinar el término asociado al exceso de potencia en el peaje, con el objetivo de desincentivar la contratación de potencias inferiores a las verdaderamente necesarias.

La fórmula[5] utilizada para calcular la facturación por excesos de potencia es la siguiente:

Los valores del coeficiente Kp:

4. Exceso de potencia en 2.0A, 2.0DHA, 2.0DHS, 2.1A, 2.1DHA y 2.1DHS

No se aplica ninguna penalización por excesos de potencia, el ICP interno del contador corta el suministro cuando se supera la potencia contratada durante un instante de tiempo

4.1. Excepción para las tarifas 2.0A, 2.0DHA, 2.0DHS, 2.1A, 2.1DHA y 2.1DHS

Cuando está activado el Modo Ininterrumpido o Modo Maxímetro, entonces se aplica la misma penalización por exceso de potencia que en las Tarifas 3.0A y 3.1ª. El Modo Ininterrumpido se puede aplicar cuando el suministro es Ininterrumpido, como en los casos que hay un Ascensor.

5. Exceso de potencia en las Tarifas 3.0A y 3.1A

Este exceso se calculará de la siguiente manera[6]:

6. Exceso de potencia en tarifas de 6 períodos

Se determina en base a las potencias acordadas en cada periodo tarifario y, según la tarifa aplicada, las potencias efectivamente requeridas mediante los dispositivos correspondientes. La potencia sujeta a facturación en cada periodo tarifario será la potencia acordada. En situaciones en las que la potencia necesaria supere en algún periodo horario la potencia establecida en el contrato, se realizará, además, la facturación de todos los excesos registrados en dicho periodo, de acuerdo con la siguiente fórmula[7]:

Aei se calculará de acuerdo a esta fórmula[8]:

EVITAR O MINIMIZAR PENALIZACIONES

Para evitar o minimizar las penalizaciones por excesos de potencia, recomendamos contratar la potencia óptima en cada caso. Con el fin de optimizar tu experiencia y minimizar posibles penalizaciones por excesos de potencia, Te invitamos cordialmente a considerar la potencia óptima para tu empresa con los servicios especializados de TuAhorro. Nuestro equipo realiza un cálculo preciso utilizando los datos de consumo de los últimos 12 meses y la proyección para los próximos 12 meses, asegurándote así una contratación de potencia que se ajuste de manera óptima a tus necesidades.

Descubre cómo TuAhorro puede maximizar tu eficiencia energética, ya sea aumentando o reduciendo tu potencia contratada, garantizando un impacto positivo en el importe de tus facturas. ¡Optimiza tu potencia, optimiza tu ahorro con TuAhorro, contáctanos!

[6] PF: Potencia a facturar

PR: Potencia registrada o maxímetro

PC: Potencia contratada

[7] Ki: coeficiente que tomará los siguientes valores dependiendo del período tarifario i

[8] Pdj potencia demandada en cada uno de los cuartos de hora del período i en que se haya sobrepasado Pci, Pci = potencia contratada en el período i en el período considerado. Expresadas en [kW]